青島騰龍微波科技有限公司
您身邊的實驗室專家
|
基于NMR化學位移范圍積分對混合物組分進行定量的工具 SMA(Simple Mixtures Analysis by NMR)像它的名字一樣,非常簡單!Mnova的這一先進解決方案可以對混合物進行有針對性的分析,對給定成分進行定性、定量。利用這個工具,可以對消費品和原材料中的雜質、降解物、摻雜物等進行篩選,并報告其濃度。 您想以自動化的方式利用NMR進行混合物分析嗎?點擊試用Mnova Gears SMA > 獲取license |
|
|
SMA 3.1有什么新功能? 界面更新,以實現更直觀的工作流程。支持使用外標法(PULCON) 無縫導入和使用AssureNMR方法 報告設置更加靈活
|
![]() |
SMA
SMA界面直接與NMR數據交互 |
SMA可以自動創建濃度和純度測定的標準方程式 創建您自己的定制的目標混合物分析實驗 可以使用多種Mnova積分方法,包括強大的qGSD 手動檢查化合物的組分,并輕松更改計算所用的多重峰 與潛在組分的數據庫交互,以“即時”構建特定于樣本的分析 可以對SMA工作流實現批處理或實時處理(Mgears SMA) |
SMA
SMA可以為您進行混合物分析,應用數不勝數。
提供公式編輯器,使定量的操作過程更加靈活。
QC和生產環境可以從使用自動化的SMA工作流程中受益。
設計您自己的實驗、選擇混合成分、包含/排除多重峰范圍、設置積分選項和公式、選擇顯示顏色、個性化警示等,并將您的實驗保存在庫中,以便在工作群組中重復利用。
可以導出多種格式的報告:PDF、MNOVA、HTML、XML、CSV等。
從您的Mnova DB導入化學位移范圍、質子數和分子量,點擊幾個按鈕即可構建SMA實驗!
此外,當需要進行標準分析(如濃度或純度測定)以量化幾種混合物時,SMA可以快速投入使用:可以使用潛在組分的譜圖對照DB搜索混合物譜圖,以幫助識別潛在組分。報告潛在的命中率,并且可以通過快速目視檢查輕松細化列表。
優化您的工作流并在自動化中運行SMA分析。Gears SMA將從指定目錄分批處理原始數據,或在譜儀生成原始數據時實時處理原始數據。
Your business will certainly appreciate it!
SMA
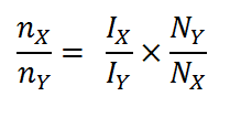
對于兩種組分之間的簡單摩爾比,可以使用以下一般表達式:

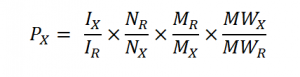
例如,如果要估計混合物成分的濃度,則使用以下簡單公式確定濃度:

濃度轉換因子(CCF)就像核磁共振的“響應因子”,將絕對積分/核素轉換為濃度。有關CCF值的更多信息,請參見Q:“CCF值到底是什么?” ?或者,如果您的目標是計算混合物成分的純度,一旦您創建了至少一種內標信息,就可以應用純度的基本方程(如下):



C ∝ AI/NN (1)
式中,C是化學物質的濃度,AI是該物質多重峰的絕對積分,NN是該多重態的核素數(通常為Hs)。由此我們得出:
C= CCF * AI/NN (2)
CCF可以將測量的AI/NN轉換為濃度。基本上,CCF只需在一次實驗中確定一次,然后它就適用于反應中的所有化學物質!完成后,可通過應用方程式(2)確定所有其他物質濃度,其中AI由軟件確定,NN由用戶提供。
SMA 市場(SMA用戶)
|
|
SMA
如果您有試用或購買的需求,或者有任何問題,請隨時聯系我們!✈:山東省青島市市北區南京路377號
☏:0532-83818797 / 18561885100
✉:changzhu_ ji@tlwb.com.cn shuochao_dai@tlwb.com.cn support@tlwb.com.cn
了解更多 |
![]() |